水楊醛肟

結構式
| 物競編號 | 027z |
|---|---|
| 分子式 | c7h7no2 |
| 分子量 | 137.14 |
| 標簽 |
水楊醛肟, 2-羥基甲醛肟, salicylaldoxime, benzaldehyde, 2-hydroxybenzaldehyde oxime, 2-hydroxybenzaldoxime, 顯色劑 |
編號系統
cas號:94-67-7
mdl號:mfcd00002120
einecs號:202-353-8
rtecs號:vn5775000
brn號:1859881
pubchem號:24888183
物性數據
1. 性狀:白色棱柱狀結晶。
2. 密度(g/ml,20℃):未確定
3. 相對蒸汽密度(g/ml,空氣=1):未確定
4. 熔點(oc):57
5. 沸點(oc,常壓):未確定
6. 沸點(oc,10mmhg):未確定
7. 折射率:未確定
8. 閃點(oc):未確定
9. 比旋光度(o):未確定
10. 自燃點或引燃溫度(oc):未確定
11. 蒸氣壓(mmhg,85oc):未確定
12. 飽和蒸氣壓(kpa, oc):未確定
13. 燃燒熱(kj/mol):未確定
14. 臨界溫度(oc):未確定
15. 臨界壓力(kpa):未確定
16. 油水(辛醇/水)分配系數的對數值:未確定
17. 爆炸上限(%,v/v):未確定
18. 爆炸下限(%,v/v):未確定
19. 溶解性:易溶于醇、醚、和稀鹽酸,溶于熱水,微溶于冷水,不溶于石油醚。
毒理學數據
1、 急性毒性:大鼠經口ldlo:400mg/kg;
生態(tài)學數據
對水有稍微的危害。
分子結構數據
1、 摩爾折射率:37.01
2、 摩爾體積(cm3/mol):115.8
3、 等張比容(90.2k):300.9
4、 表面張力(dyne/cm):45.5
5、 極化率(10-24cm3):14.67
計算化學數據
1、 疏水參數計算參考值(xlogp):1.4
2、 氫鍵供體數量:2
3、 氫鍵受體數量:3
4、 可旋轉化學鍵數量:1
5、 互變異構體數量:5
6、 拓撲分子極性表面積(tpsa):49.3
7、 重原子數量:10
8、 表面電荷:0
9、 復雜度:226
10、同位素原子數量:0
11、確定原子立構中心數量:0
12、不確定原子立構中心數量:0
13、確定化學鍵立構中心數量:1
14、不確定化學鍵立構中心數量:0
15、共價鍵單元數量:1
性質與穩(wěn)定性
避免與氧化物、酸性物質接觸。
貯存方法
密封于陰涼、干燥處保存。確保工作間有良好的通風設施。遠離火源,儲存的地方遠離氧化劑、酸性物質。
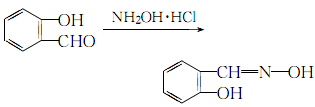
合成方法
1.將水楊醛溶于氫氧化鈉溶液中,加入鹽酸羥胺。將混合物在水浴上加熱半小時,用冰調至中性。冰浴冷卻,析出水楊醛肟。經重結晶,再用含少量的石油醚重結晶,即得成品。
用途
1.有機靈敏試劑,光度測定銅(ii)、鐵(iii)、鉬(vi)、鎳(ii)。銅、鎳、鉛、鈀、鎘、汞、鉍、釩、鋨/金/鈾/鐵/鈷、錳、鋅等的沉淀劑或萃取分離劑。
擴展閱讀https://www.bdmaee.net/potassium-neodecanoate-2/擴展閱讀https://www.bdmaee.net/dabco-bl-16-catalyst-cas8001-28-0–germany/擴展閱讀https://www.newtopchem.com/archives/555擴展閱讀https://www.newtopchem.com/archives/44555擴展閱讀https://www.bdmaee.net/wp-content/uploads/2022/08/-xd-103–tertiary-amine-catalyst-catalyst-xd-103.pdf擴展閱讀https://www.bdmaee.net/coordinated-thiol-methyltin/擴展閱讀https://www.bdmaee.net/di-n-butyl-tin-dilaurate/擴展閱讀https://www.bdmaee.net/high-quality-cas-26761-42-2-potassium-neodecanoate/擴展閱讀https://www.newtopchem.com/archives/45010擴展閱讀https://www.newtopchem.com/archives/40086

