-
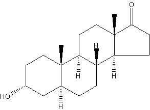
雄烯二酮
結構式 物競編號 015z 分子式 c19h30o2 分子量 290.44 標簽 雄酮, 雄甾酮, 3α-羥基-5α-雄甾烷-17-酮, 5α-雄烷-3α-醇-17 ... -
1-甲基-4-(2-甲基環氧乙烷基)-7-氧雜雙環[4.1.0]庚烷
結構式 物競編號 02ac 分子式 c10h16o2 分子量 168.24 標簽 二氧化萜二烯, 二氧化二戊烯, 1,2:8,9-雙環氧苧烯, 1,2:8,9-di ... -
脫氫異雄酮
結構式 物競編號 0160 分子式 c19h28o2 分子量 288.42 標簽 脫氫表雄甾酮, 去氫表雄酮, (3β)-3-羥基-5-烯-17-甾酮, 3β-羥基 ... -
1,2-環氧乙烷
結構式 物競編號 02ad 分子式 c8h8o 分子量 120.15 標簽 環氧乙烷, 乙烯環氧化物, α,β-環氧乙烯, styrene-7,8-oxide, ...



![1-甲基-4-(2-甲基環氧乙烷基)-7-氧雜雙環[4.1.0]庚烷](http://m.szhxmjwj.com.cn/wp-content/uploads/2024/06/3c9ff27de699444f904f4d7011a9e99b-1.gif)

