-
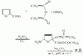
5-硝基-2-糠醛二酯
結構式 物競編號 024w 分子式 c9h9no7 分子量 243.17 標簽 5-硝基呋喃亞甲基二乙酯, 2-(乙酰基甲基)-5-硝基呋喃, 5-硝基糠醛二乙酰乙縮醛, ... -
1-基哌嗪
結構式 物競編號 024v 分子式 c10h14n2 分子量 162.23 標簽 n-基哌嗪, n-phenyldiethylenediamine 編號系統 物性數據 毒理學數據 生態學數據 分子結構數據 計算化學數據 ... -
4-基嗎啉
結構式 物競編號 024u 分子式 c10h13no 分子量 163.22 標簽 n-基嗎啉, 4-基嗎啡啉, (4-morpholinyl)benzene, n- ... -
聯
結構式 物競編號 024t 分子式 c12h10 分子量 154.21 標簽 基, 聯二, 1,1'-聯, bibenzene,biphenyl, ...





